大连理工李新勇教授ACS AMI:疏水性碳材料的吸附特性研究取得新进展
大连理工李新勇教授ACS Applied Materials & Interfaces:疏水性碳材料的吸附特性研究取得新进展
第一作者:郭学成 通讯作者:李新勇教授
通讯单位:大连理工大学
原文链接:https://doi.org/10.1021/acsami.1c18507
01全文速览
大连理工大学李新勇教授课题组长期专注于碳基催化剂对VOCs的吸附研究。近日,该课题组在功能化改性活性炭吸附VOCs方面的研究中取得新进展,相关成果发表于国际著名期刊ACS Appl. Mater. Interfaces上。作者通过混合硅氧烷成功制备了一系列功能化改性活性炭。通过动态吸附实验,证明改性活性炭在高湿度条件下提升了对VOCs的吸附选择性。同时,通过吸附动力学模拟和理论计算想结合的方式,从理论方面进一步证明了活性炭对VOCs的吸附选择性。最后,说明这种改性活性炭在工业运用上巨大潜力。
02背景介绍
活性炭因其微孔体积大、吸附能力强、成本相对较低,是目前工业废气中VOCs回收应用最广泛的一种吸附剂。然而,一般工业废气中水蒸气含量较大。水蒸气会迅速粘附并占据活性炭上的大部分吸附位点,降低对VOCs的吸附能力。这是由于亲水位点(如含氧基团)与水分子的关系比弱极性VOCs分子更紧密所致。此外,活性炭的可重复使用性和强度受到很大影响。为了提高活性炭对挥发性有机化合物(VOCs)与水蒸气竞争吸附的选择性,本文通过在活性炭表面负载一层疏水保护层,对活性炭进行功能化改性。
03本文亮点
1. 采用混合硅氧烷制备了一系列疏水活性炭,并应用于0、50和90%湿度下的动态竞争吸附。
2. 采用单组分和竞争吸附突破曲线研究了不同湿度条件下活性炭对乙醇、乙酸乙酯和甲苯的竞争吸附性能。
3. 采用扩散分子模型、多组分吸附实验和理论计算对吸附扩散机理进行了研究。
04图文解析
作者通过水热法制备了一系列疏水性活性炭,如图2所示,SEM和N2吸附脱附图显示混合硅氧烷成功负载与活性炭上,同时对其孔径分布,比表面积都具有较大影响。接触角测试直观的反应了材料疏水性能的提升。同时,通过XPS结合FTIR的表征手段确定硅烷以Si−O−C的形式连接在活性炭表面。不同的硅烷链以Si−O−Si连接,形成疏水保护层。
Figure 1. Schematic illustration of the preparation of SACs.
Figure 2. (a-d) The SEM images of OAC and SACs. (e) N2 adsorption/desorption isotherms, and (f) pore size distribution curves of OAC and SACs. (g) Si elemental mappings of SAC-3. (h-k) the contact angle of OAC and SACs.
Figure 3. (a) XPS survey spectra, (b) Si 2p XPS spectra, and (c) FTIR spectra of OAC and SACs.
为了研究SACs的吸附性能,在不同湿度条件下,对乙醇、乙酸乙酯和甲苯进行动态吸附穿透实验,在干燥条件下,与OAC相比,SACs由于比表面积的下降,导致吸附突破时间有着明显缩短。但是随着湿度的增加,OAC对乙醇、乙酸乙酯和甲苯的穿透时间有着明显的降低,而SACs的穿透时间基本保持稳定。 结果表明,在50和90%的湿度下,疏水改性可以改善活性炭与VOCs的界面相互作用,提升对VOCs气体的吸附选择性。
Figure 4. The breakthrough curves for ethanol, ethyl acetate, toluene on activated carbon at (a-c) 0% humidity, (d-f) 50%, and (g-i) 90% humidity.
为了消除比表面积对吸附性能的影响,将活性炭的饱和吸附容量按比表面积进行归一化处理。通过对四种活性炭单位比表面积吸附容量在横纵两个方向进行对比。横向上,随着湿度的增加,SACs对乙醇,乙酸乙酯和甲苯单位比表面积吸附容量分别从低于OAC:4.2%−16.6%,2.2%−7.1% 和3.0%−6.5% 上升到高于OAC: 9.3%-0.8%,10.9%-9.3% 和 6.1%-8.5%。说明疏水性可以提高活性炭对VOCs的吸附性能。纵向上,比较了随着第二种物质(VOCs或水)的加入对第一组分的单位比表面积吸附容量的影响。图5b中显示,随着第二组分的加入,第一组分的单位比表面积吸附容量变化率和物质的极性相关。说明改性活性炭对不同极性的VOCs的吸附选择性不同。
Figure 5. (a) The competitive normalized on a per specific surface area under different humidity conditions. (b) Variation of VOCs and water adsorption capacities due to the addition of a second compound (VOCs or water).
通过Y-N模型模拟几种活性炭对乙醇,乙酸乙酯和甲苯的吸附动力学,模拟结果证实活性炭与VOCs界面相互作用的大小顺序为SAC-3 > SAC-2> SAC-1 >.OAC,与实验结果相一致。同时探究了多种VOCs混合组分在活性炭表面的吸附过程,如图6a-e 所示整个吸附过程可分为5个阶段。而且为了验证吸附实验结果,探索活性炭的吸附机理,我们建立了系统的理论模型来计算吸附能。在原始碳层中我们能发现水的吸附能(−0.16 eV)大于乙醇(−0.08 eV),乙酸乙酯(−0.14 eV),甲苯(−0.15 eV)的吸附能。但是,在改性炭层中,乙醇和乙酸乙酯的吸附能 (−0.81和−0.77 eV) 要明显高于水的吸附能(−0.73 eV)。这说明硅改性碳层主要吸附乙醇和乙酸乙酯。 虽然甲苯的吸附能只有−0.34 eV,但从图6f-g中我们发现甲苯的主要吸附位点可以转移到碳层的内部区域。 然而,水分子仍然只存在于碳层的边缘区域。 碳层内部区域的吸附位点数大于边界区域。 此外,增加吸附能量也会增强对甲苯的吸附性能。 甲苯分子更容易转移到碳层的内部区域。 对于甲苯,吸附能只是一种辅助手段。 其选择性的差异来自于吸附位点数量的不同。 因此,改性硅氧烷可以提高活性炭对VOCs的选择性。 结果与实验结论一致。
Figure 6. (a) Schematic diagram, and (b-e) breakthrough curves for multicomponent adsorption of ethanol, ethyl acetate and toluene under the condition of 50% humidity. Geometry structure of ethanol, ethyl acetate, toluene, and water adsorption on (f) OH-modified carbon layer, and (g) Si-modified carbon layer.
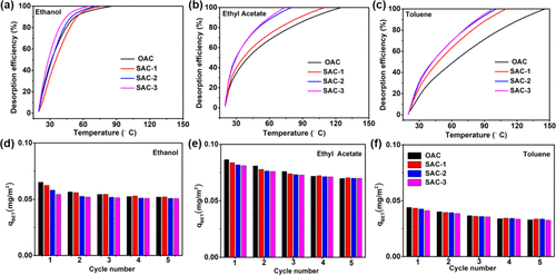
通过程序升温解吸实验我们发现改性活性炭吸附的VOCs更易被脱附。同时,SACs可重复有所提升,五次循环试验后对乙醇,乙酸乙酯和甲苯回收率从80.05, 80.66, 和 74.89% 上升到87.45, 85.33, 和 78.52%。因此,改性活性炭合适与高湿度的工业废气的处理。
Figure 7. Effect of temperature on the desorption efficiency of (a) ethanol, (b) ethyl acetate, (c) toluene from the activated carbon. Five continuous adsorption-desorption cycles of (d) ethanol, (e) ethyl acetate, and (f) toluene.
原文链接:https://doi.org/10.1021/acsami.1c18507
