大连理工李新勇教授: 表面衍生富含氧空位空心Cu- Mn尖晶石材料高效低温催化还原NOx反应特性研究
大连理工李新勇教授: 表面衍生富含氧空位空心Cu- Mn尖晶石材料高效低温催化还原NOx反应特性研究
第一作者:秦瑜;通讯作者:李新勇 教授
通讯单位:大连理工大学
原文链接:https://doi.org/10.1021/acsanm.1c02546
1、 全文速览
大连理工大学李新勇教授课题组长期专注于一氧化碳选择性催化还原氮氧化物工作。近日,该课题组在CO低温催化还原NO研究中取得新进展,相关成果发表于国际期刊 ACS Applied Nano Materials上。作者采用溶剂热法制备得到了具有纳米空心结构的花生状Cu-Mn尖晶石催化剂。相较于传统的实心颗粒催化剂,该材料不仅提高了CO低温还原NO的催化性能,而且也大大降低了反应的表观活化能。作者通过实验与理论结合证明了独特的纳米结构和表面暴露更多的活性位点能够提高催化剂的氧化还原性能和氧迁移率,氧空位的形成也改善了催化剂对反应物种的吸附和活化能力。同时,利用原位表征手段探索了催化反应机理。本研究为合理设计CO还原NO的高效催化剂提供了一种思路。
2、 背景介绍
氮氧化物(NOx)是典型的有害大气污染物。氮氧化物的过量排放造成了酸雨、温室效应、光化学烟雾等环境污染问题,对人类健康和生态环境造成了危害。CO催化还原NO技术由于其具有同时消除这两种污染物的优点,而受到了人们的广泛关注。作为CO催化还原NO的关键因素,催化剂的催化活性直接决定了脱硝效率。传统的铂族金属是一类高效的催化剂,但由于资源稀缺、价格高、高温不稳定等原因,极大地限制了它的进一步应用。因此,开发高性能、低成本、稳定的CO低温还原NO催化剂成为当前研究的重点。
现阶段,过渡金属氧化物因其具有良好的催化性能而备受关注。特别是,在Cu-Mn尖晶石中,不同位点的金属阳离子的协同作用能够增强氧化还原性能进而提高催化活性;然而,在低温条件下,该类催化剂的催化活性仍有待提高。因此,对Cu-Mn尖晶石的氧化还原性能进行系统的调控有望成为提高其催化性能有效手段。本研究通过对催化剂的形貌结构进行调控,进一步改善了催化剂表面缺陷和离子转移,从而实现了提升催化剂的低温催化性能的目的。
3、 本文亮点
采用溶剂热法合成了具有纳米空心结构的花生状Cu0.75Mn2.25O4尖晶石材料。通过对材料形貌结构的调控,不仅改善了催化剂表面的物理化学性能,还能有效调控离子间的转移和氧空位的形成。在低温条件下(<200 ℃),材料表面的氧缺陷循环过程促进了反应的进行,大大降低了反应的表观活化能。此外,通过理论计算发现了“Cu+−□−Mn(x-1)+”是主要的反应物种。
4、 图文解析
通过TEM和XRD的图像可知,利用溶剂热法成功制备得到了具有空心纳米结构的花生状的Cu0.75Mn2.25O4尖晶石材料(Cu0.75Mn2.25O4-NH)。TEM图像显示,Cu0.75Mn2.25O4-NH催化剂是由两个直径为300~400 nm的球组成,壳层厚度约为10 nm;从HRTEM图像中,发现Cu0.75Mn2.25O4-NH主要暴露了(311)和(220)晶面;而EDX映射图则证实了Mn,Cu和O元素的均匀分布。
Figure 1. (a−c) TEM images, (d) HRTEM image, (e) HAADF image, and (f−h) EDX mapping images of the Cu0.75Mn2.25O4-NH, (i) XRD patterns of Cu0.75Mn2.25O4 catalysts.
通过XPS和EPR表征对两种催化剂的表面的元素存在状态和氧空位进行了分析。从结果来看,相较于颗粒状态的Cu0.75Mn2.25O4-NP,Cu0.75Mn2.25O4-NH表面具有更高比例的Cu2+、 Mn3+和氧空位。尖晶石中的Cu2+和Mn3+有利于氧空位的产生和氧化还原性能的提高。另外,Mn3+ + Cu2+ ↔Mn4+ + Cu+的氧化还原循环可以促进Cu、Mn离子之间的电子相互作用,提高催化剂的活性。
Figure 2. XPS spectra of (a) Cu 2p, (b) Mn 2p, (c) O 1s and (d) EPR spectra at 100k of Cu0.75Mn2.25O4 catalysts.
如图3所示,从H2-TPR的曲线中可以看出,Cu0.75Mn2.25O4-NH的还原峰温度都比 Cu0.75Mn2.25O4-NP要低,说明其在低温下更容易还原,有利于氧空位的活化。O2-TPD曲线则证明了Cu0.75Mn2.25O4-NH具有更强的表面氧物种的迁移率和吸附能力。
Figure 3. (a) H2-TPR and (b) O2-TPD profiles of Cu0.75Mn2.25O4 catalysts.
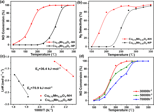
作者对两种材料的CO催化还原NO性能、N2选择性、反应过程动力学和不同空速下的反应性能进行了测试。如图4所示:Cu0.75Mn2.25O4-NP表现出较差的中低温催化活性,而Cu0.75Mn2.25O4-NH无论是低温还是中温阶段的催化活性都要优于Cu0.75Mn2.25O4-NP,且N2选择性在整个测试温度区间也都高于对比材料;在反应过程动力学测试中发现Cu0.75Mn2.25O4-NH表观活化能为36.4 kJ·mol-1,要明显低于Cu0.75Mn2.25O4-NP的表观活化能;此外,在不同空速条件下,Cu0.75Mn2.25O4-NH的NO转化率变化也不是很明显,说明其具有良好的抗高GHSV性能。
Figure 5. (a) NO conversion, (b) N2 selectivity, (c) Arrhenius plots for the reaction rates of NO conversion over Cu0.75Mn2.25O4 catalysts, and (d) NO conversion of Cu0.75Mn2.25O4-NH over different GHSV (30000 h−1, 50000 h−1, 70000 h−1).
采用原位红外技术分别对CO、NO以及CO+NO共吸附过程进行了探索。从整体上分析,两种催化剂表面出现的吸附物种基本相似,说明这两种催化剂遵循相似的反应机理,即L-H机理。然而在低温阶段,相较于Cu0.75Mn2.25O4-NP催化剂而言,Cu0.75Mn2.25O4-NH表面具有较多的亚硝酸盐/硝酸盐物种,这说明在其表面提供了更多的反应位点,进而促进N−O键的断裂,加快了 NO向N2的解离/转化,提高了材料的低温反应性能。
Figure 6. In situ DRIFTS spectra of CO, NO and NO+CO co-adsorption for Cu0.75Mn2.25O4-NH and Cu0.75Mn2.25O4-NP catalysts.
最后作者采用DFT计算方法研究了不同晶面(311)和(220)晶面上氧空位的形成及其对NO吸附/活化细节的影响。首先计算了不同氧空位的生成能,结果发现(220)晶面较易产生氧空位。特别是靠近铜元素附近的氧空位(即Cu+−□−Mn(x-1)+)具有更大的负生成能,这意味着该位置的氧空位更容易形成。进一步计算了(220)晶面不同位置的NO吸附能。从图7中对NO吸附能的计算可知,计算得到的吸附能均大于1 eV,说明NO可以在所有表面金属位点上被化学吸附,这有利于反应物分子的活化。此外,氧空位有助于降低反应能垒,通过降低吸附活化能来促进催化反应,进而实现了对催化反应路径的优化。结合XPS、TPR/TPD等表征结果分析,Cu位氧空位形成能较低,且对NO吸附性能较好,可以认为Cu位氧空位是CO还原NO的主要活性位点。
Figure 7.NO adsorption energy and charge difference mappings over different sites on Cu0.75Mn2.25O4 crystal plane (220): (a) Cu site and (b) Mn site on the perfect facet, (c) Cu site and (d) Mn site on the OV-modified facet.
