李阳,博士,副教授,硕士研究生导师。从事计算化学和机器学习的研究工作,主要进行过渡金属催化机理研究、新颖芳香性体系表征及参数发展、机器学习算法进行催化剂设计和反应预测等方向
的研究。先后主持国家自然科学基金、辽宁省自然科学基金等科研项目5项,在J. Am. Chem. Soc. 、Nat. Comm.、Angew. Chem. Int. Ed.等顶级刊物上 发表SCI收录科研论文70余篇。
部分研究工作:
1)通过结合原子空间结构、电子性质描述符,构建了高精度的反应性能预测模型通过融合文本和模态的信息,实现均相化学反应产率、对映选择性和活化能的预测。在四个高通量数据集上的实验结果表明,该预测模型在反应产率、对映选择性和反应活化能预测方面优于至少七种最先进的机器学习方法。该研究结果以封面形式,发表在 Chin. J. Chem. 2025, 43, 1230。
2)建立了一个与机器学习兼容的Heck反应产率大规模文献数据集。与高通量实验数据集相比,该数据集包括多种反应子类,覆盖了包括近3.6 × 1012例反应组成的化学空间。尽管该数据集与其他基于文献的数据集一样面临着分布稀疏和高收益偏好的困境,导致模型在测试集上的学习能力有限,但该研究提出的子集分裂训练策略成功优化了模型在该数据集的学习性能。该研究结果发表在 J. Org. Chem., 2025, 90(36), 12768。

3)为了预测Buchwald–Hartwig偶联反应高通量实验数据集的产率,申请人课题组通过将每个反应物表示为定制化反应图中的独立节点,提出了一种可用于深度学习建模的新型反应图。基于高通量反应数据集训练的反应图神经网络在保持低计算成本的条件下,取得了接近最优的性能(R²= 0.971)。通过捕捉单分子及分子间的相互作用特征,模型揭示了碱基与反应产率之间的关键关系,识别出影响产率的重要碱基特征。该研究结果发表在 J. Org. Chem., 2025, 90(37),12975-12983。

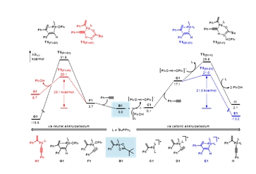
4)对酸调控的钯催化端炔尾-尾二聚反应机制进行了计算研究。研究发现当反应液的酸性较弱时,端炔将经由烯基钯阳离子机制和中性烯基钯机制分别发生二聚反应,生成尾-尾二聚和头-尾二聚产物的混合物;当反应液的酸性较强时,端炔将选择性地经由烯基钯阳离子机制,生成尾-尾二聚产物。该研究结果发表在 Angew. Chem. Int. Ed.,2022,e202116870,入选热点文章(hot paper)和封面。

5)进行国际合作,对B(C6F5)3催化吡咯啉脱氢形成吡咯进行机理研究,解释了吡咯烷在脱氢过程中的效果优于烯丙基硅烷。该研究结果发表在ACS Catal., 2024, 14, 4856。
6)通过 Zn 催化光诱导喹啉-N-氧化物衍生物异构化合成 2-喹啉酮衍生物进行计算研究。计算支持了罕见的正一价锌离子在催化反应中的生成及重要作用。该研究结果发表在Green Chem., 2024, 26, 10818。
7)采用理论方法对芳香性、分子轨道等重要分子性质进行研究。研究结果发表在J. Am. Chem. Soc. 2024, 146, 45, 30790、Nat. Comm., 2024, 15, 5647、Chem. Sci., 2023, 14, 96。
工作学习经历:
2016至今 大连理工大学 副教授
2019.12-2020.11 柏林工业大学 访问学者
2011.12-2016.3 香港科技大学 博士后
2000.9-2011.7 辽宁师范大学 本科、博士
部分发表SCI论文:(*通讯作者, ‡共同第一作者)
1) Shen Wang, Weiren Zhao, Yining Liu, Yang Li,* Chin. J. Chem. 2025, 43, 1230. (Cover)
2) Weiren Zhao,‡ Shen Wang,‡ Yang Li,* J. Org. Chem., 2025, 90, 37, 12975.
3) Shen Wang, Yining Liu, Weiren Zhao, Yang Li,*J. Org. Chem., 2025, 90, 36, 12768.
4) Lei Li, Bingjie Fu, Yue Zhao, Yue Sun, Yang Li,* Wenfeng Jiang,* Wei Bai,* Chem. Comm, 2025, 61, 15858.
5) Bingjie Fu, Yarong Wang, Yue Zhao, Yang Li,* Wenfeng Jiang,* Wei Bai,* Antiaromatic Metallacyclopentatriene Complexes, J. Am. Chem. Soc., 2024, 146, 45, 30790.
6) Hang Luo, ‡ Yupeng Yang, ‡ Yukang Fu, ‡ Fangnian Yu, Lei Gao, Yunpeng Ma, Yang Li,* Kaifeng Wu,* Luqing Lin,* Nat. Comm., 2024, 15, 5647.
7) Ana Alvarez-Montoya,‡ Joseph P. Gillions,‡ Laura Winfrey, Rebecca Hawker, Kuldip Singh, Fabrizio Ortu, Yukang Fu, Yang Li*, Alexander P. Pulis*, ACS Catal., 2024, 14, 4856.
8) Xiaoqiang Yu‡*, Sana Yang‡, Ning Yan, Yukang Fu, Yang Li,* Wanhui Wang, Ming Bao, Green Chem., 2024, 10818.
9) Yan Du, Jingjing Tang, Yarong Wang, Junhao Hu, Changhua Chen, Zhonggui Xiong, Yang Li*, Jiangli Fan, Ming Bao, Xiaoqiang Yu*, 2024, Org. Lett., 2024, 26, 3, 664.
10) Xia Chen, Yining Liu, Sheng Zhang,* Yang Li,* Xiao-Yu Zhou, Xiaoqiang Yu, Xiujuan Feng, Yoshinori Yamamoto, Ming Bao,* Org. Lett., 2024, 26, 6024.
11) Xia Chen, ‡ Yining Liu, ‡ Sheng Zhang, Yang Li,* Xiao-Yu Zhou,* Xiujuan Feng, Xiaoqiang Yu, Yoshinori Yamamoto, Ming Bao,* Org. Lett., 2024, 26, 34, 72338.
12) Yan Du, Jingjing Tang, Yarong Wang, Junhao Hu, Changhua Chen, Zhonggui Xiong, Yang Li,* Jiangli Fan, Ming Bao, Xiaoqiang Yu,* Org. Lett., 2024, 26, 3, 664.
13) Yongliang Wei, Xiaowen Yang, Min Liu, Xue Wang, Yang Li,* Tongdao Wang, Inorg. Chem., 2024, 63, 44, 20945.
14) Wei Bai, Long Yiu Tsang, Yilun Wang, Yang Li*, Sung Herman, Ian Williams*, Guochen Jia*, Chem. Sci., 2023, 14, 96.
15) Yueqiang Liu, Sheng Zhang*, Yang Li*, Xiaoqiang Yu, Xiujuan Feng, Yoshinori Yamamoto, Ming Bao*, Org. Chem. Front., 2023, 10, 6117.
16) Sheng Zhang*, Junchao Yin, Ziyang Wang, Yang Li*, Yukang Fu, Ji Ma, Zhilong Xie, Ming Bao*, Chem. Comm., 2023, 59, 5563.
17) Wei Bai*, Lei Li, Yukang Fu, Junping Tang, Yue Zhao, Yilun Wang, Yang Li*, Dalton Trans., 2023, 52, 9731.
18) Xin Liu, Wen-Zhe Dong, Yining Liu, Wei-Yu Shao, Yang Li*, Xiaoqiang Yu, Yuichiro Himeda, Wan-Hui Wang*, Ming Bao*, Efficient Synthesis of, ChemCatChem, 2023, e202300817.
19) Liyan Zhan, Yukang Fu, Yue Zhao, Limei Yu*, Yang Li*, Wei Bai*, Organometallics, 2023, 42, 19, 2800.
20) Hongyu Guo, Sheng Zhang, Yang Li*, Xiaoqiang Yu, Xiujuan Feng, Yoshinori Yamamoto, Ming Bao*, Angew Chem Int Edit., 2022, 61(13), e202116870.
21) Wei Bai‡*, Yue Sun‡, Yilun Wang, Yan Zhou, Yue Zhao, Xiao Bao, Yang Li*, Chem. Commun., 2022, 58, 6409.
22) Yue Sun‡, Yan Zhou‡, Wei Bai*, Yang Li*, Yilun Wang, Chem. Comm., 2022, 58, 435.
23) Junping Tang, Yilun Wang, Wei Bai*, Yan Zhou, Wenyan Yu, Yang Li*, Dalton Trans., 2022, 51, 9495.
24) Yilun Wang‡, Yue Sun‡, Wei Bai*, Yan Zhou, Xiao Bao, Yang Li*, Dalton Trans., 2022, 51, 2876. (HOT PAPER)
25) Xiaoling Lai, Mengwei Hu, Yang Li*, Dalton Trans., 2021, 50, 12308.
26) Xiaoling Lai, Yang Li*, ChemCatChem, 2021, 13, 2465.
27) Xiao Bao‡, Yang Li‡, Wei Bai*, Yan Zhou, Yilun Wang, Yue Sun, Jingyang Jiang, Chem. Comm., 2021, 57, 1643.
28) Wan-Hui Wang, Hong Wang, Yajing Yang, Xiaoling Lai, Yang Li*, Jiasheng Wang, Yuichiro Himeda, Ming Bao*, ChemSusChem, 2020, 13, 5015.
29) Yu Pan, Wenqiang Li, Ning-Ning Wei, Yat-Ming So, Xiaoling Lai, Yang Li*, Kang Jiang, Gaohong He*, Dalton Trans., 2019, 48, 9079. (Inside front cover)
30) Yu Pan, Wenqiang Li, Ning-Ning Wei, Yat-Ming So, Yang Li*, Kang Jiang, Gaohong He*, Dalton Trans., 2019, 48, 3583. (Outside back cover)
31) Yu-Yang Ding, Deng-Feng Xu, Shanshui Meng*, Yang Li*, Junling Zhao*, Adv. Synth. Catal., 2018, 360, 664.
32) Wan-Hui Wang, Hui-Peng Tang, Wen-Duo Lu, Yang Li*, Ming Bao, Yuichiro Himeda*, ChemCatChem, 2017, 9, 3191.
33) Yang Li, Zhenyang Lin*, Organometallics, 2015, 34, 3538-3545.
34) Yang Li, Zhenyang Lin*, Org. Chem. Front., 2014, 1, 1188.
35) Yang Li, Zhenyang Lin*, J. Org. Chem, 2013, 78, 11357.
36) Yang Li, Zhenyang Lin*, Organometallics, 2013, 32, 3003.
37) Yang Li, Chang-Sheng Wang*, J. Comput. Chem., 2011, 32, 2765.
38) Yang Li, Chang-Sheng Wang*, SCIENCE CHINA Chemistry, 2011, 54, 1759.
39) Yang Li, Xiao-Nan Jiang, Chang-Sheng Wang*, J. Comput. Chem., 2011, 32, 953.
1. 过渡金属催化机理研究 2. 新颖芳香性体系表征及参数发展 3.采用数学模型预测反应选择性
Associate Professor
Supervisor of Master's Candidates
Gender:Female
Alma Mater:辽宁师范大学
Degree:Doctoral Degree
School/Department:化工海洋与生命学院
Discipline:Applied Chemistry. Chemical Engineering. Fine Chemicals
Contact Information:
Open Time:..
The Last Update Time:..